
- Utilize the Uncertainty Analysis to do a P90, P99, P50 or even a P10 analysis for your batch predictions
- Specify your models (decomposition, transposition, module temperature, etc…) that will be applied to your batch prediction putting you more in control of the results
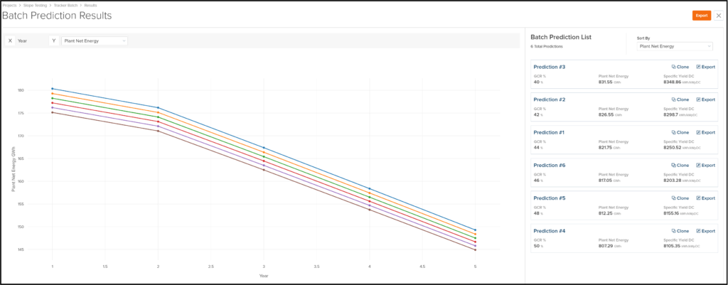
- Now you can run multi-year predictions in batch mode. This makes it easier to see how energy results are impacted by long term degradation when you vary any of our batch variables with your prediction.


- One-click weather download was not working properly with the CPR API key. It is now working just fine.
- Fixed Tilt batch predictions were not computing correctly.
- When popup displays on Mapbuilder, a ‘selection dead zone’ occurs on TOP and RIGHT of popup.
- When setbacks for both Site Boundary and Constraints are ‘0’, building DC islands is compromised.